Netinfo Security ›› 2025, Vol. 25 ›› Issue (8): 1313-1325.doi: 10.3969/j.issn.1671-1122.2025.08.011
Previous Articles Next Articles
ZHANG Yanyi1,2,3, RUAN Shuhua1,2,3(
), ZHENG Tao1,2,3
Received:2024-10-25
Online:2025-08-10
Published:2025-09-09
CLC Number:
ZHANG Yanyi, RUAN Shuhua, ZHENG Tao. Research on REST API Design Security Testing[J]. Netinfo Security, 2025, 25(8): 1313-1325.
Add to citation manager EndNote|Ris|BibTeX
URL: http://netinfo-security.org/EN/10.3969/j.issn.1671-1122.2025.08.011
| 编号 | 规范描述 | 类别 |
|---|---|---|
| U-1 | URI中必须使用分隔符/表示层次关系[ | URI 安全 |
| U-2 | URI中不能包含尾随的斜杠(/)[ | |
| U-3 | URI中应该使用“-”而不是“_”作为连接符[ | |
| U-4 | URI路径应该使用小写字母[ | |
| U-5 | URI中不能包含文件扩展名[ | |
| U-6 | URI中不能出现CRUD方法名[ | |
| P-1 | 查询参数中避免出现版本号[ | 参数 安全 |
| P-2 | 查询参数中避免出现CRUD方法名[ | |
| P-3 | 同一参数的类型定义不能发生冲突[ | |
| P-4 | 敏感参数不能在URL上传播[ | |
| P-5 | 参数默认值应该安全配置[ | |
| H-1 | 对资源的操作必须遵循HTTP协议定义的标准方法[ | HTTP交互 安全 |
| H-2 | 自定义HTTP头不能用来改变HTTP方法的行为[ | |
| H-3 | GET和POST方法不能用于隧道其他请求方法[ | |
| H-4 | 响应必须遵循HTTP协议定义的标准响应码及 状态描述[ | |
| H-5 | 401 (“Unauthorized”)响应在需要验证身份认证时必须 使用[ | |
| R-1 | 请求/响应消息头中必须包含“Content-Type”[ | HTTP消息 安全 |
| R-2 | 请求/响应消息表示应该支持JSON格式[ | |
| S-1 | API应该正确配置身份认证/授权机制[ | 安全 方案 |
| S-2 | API应该正确配置安全传输协议[ | |
| S-3 | API应该正确配置HTTP安全头[ | |
| L-1 | 自链接应该使用一致且正确的表单来表示 | 自链接 安全 |
| I-1 | 同一服务的API应该使用一致的子域名[ | 服务 管理 安全 |
| I-2 | API信息中应该具有版本声明[ |
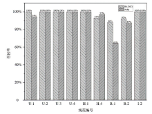
| 规范编号 | 准确率 | 召回率 | 规范 编号 | 准确率 | 召回率 | 规范 编号 | 准确率 | 召回率 | 规范 编号 | 准确率 | 召回率 |
|---|---|---|---|---|---|---|---|---|---|---|---|
| U-1 | 100% | 100% | P-1 | 100% | 100% | H-2 | 100% | 100% | S-1 | 100% | 100% |
| U-2 | 100% | 100% | P-2 | 95% | 96% | H-3 | 86% | 84% | S-2 | 93% | 92% |
| U-3 | 100% | 100% | P-3 | 94% | 82% | H-4 | 92% | 93% | S-3 | 100% | 100% |
| U-4 | 100% | 100% | P-4 | 97% | 98% | H-5 | 95% | 98% | L-1 | 96% | 97% |
| U-5 | 97% | 98% | P-5 | 96% | 96% | R-1 | 97% | 88% | I-1 | 100% | 100% |
| U-6 | 94% | 97% | H-1 | 100% | 100% | R-2 | 98% | 92% | I-2 | 100% | 100% |
| [1] | FIELDING R T. Architectural Styles and the Design of Network-Based Software Architectures[M]. Irvine: University of California, 2000. |
| [2] | HIGGINBOTHAM J. Principles of Web API Design: Delivering Value with APIs and Microservices[M]. Boston: Addison-Wesley Professional, 2021. |
| [3] | ZHOU Xinyu, CHEN Wei, WU Guoquan, et al. REST API Design Analysis and Empirical Study[J]. Journal of Software, 2022, 33(9): 3271-3296. |
| 周芯宇, 陈伟, 吴国全, 等. REST API 设计分析及实证研究[J]. 软件学报, 2022, 33(9): 3271-3296. | |
| [4] | RAUTENSTRAUCH J, STOCK B. Who's Breaking the Rules? Studying Conformance to the HTTP Specifications and its Security Impact[C]// ASIA-CCS. Proceedings of the 19th ACM Asia Conference on Computer and Communications Security. New York: ACM, 2024: 843-855. |
| [5] | BOGNER J, KOTSTEIN S, PFAFF T. Do RESTful API Design Rules Have an Impact on the Understandability of Web APIs?[J]. Empirical Software Engineering, 2023, 28(6): 132-167. |
| [6] | OpenAPI Initiative. OpenAPI Specification[EB/OL]. (2021-02-15)[2024-10-14]. https://www.openapis.org. |
| [7] | GORSKI P L, MÖLLER S, WIEFLING S, et al. “I Just Looked for the Solution!” On Integrating Security-Relevant Information in Non-Security API Documentation to Support Secure Coding Practices[J]. IEEE Transactions on Software Engineering, 2021, 48(9): 3467-3484. |
| [8] | EHSAN A, ABUHALIQA M A M E, CATAL C, et al. RESTful API Testing Methodologies: Rationale, Challenges, and Solution Directions[J]. Applied Sciences, 2022, 12(9): 4369-4385. |
| [9] | GOLMOHAMMADI A, ZHANG Man, ARCURI A. Testing Restful APIs: A Survey[J]. ACM Transactions on Software Engineering and Methodology, 2023, 33(1): 1-41. |
| [10] | PATNAIK N, DWYER A, HALLETT J, et al. SLR: From Saltzer and Schroeder to 2021… 47 Years of Research on the Development and Validation of Security API Recommendations[J]. ACM Transactions on Software Engineering and Methodology, 2023, 32(3): 1-31. |
| [11] | ZHANG Man, ARCURI A. Open Problems in Fuzzing Restful APIs: A Comparison of Tools[J]. ACM Transactions on Software Engineering and Methodology, 2023, 32(6): 1-45. |
| [12] | ALONSO J C, MARTIN-LOPEZ A, SEGURA S, et al. ARTE: Automated Generation of Realistic Test Inputs for Web APIs[J]. IEEE Transactions on Software Engineering, 2022, 49(1): 348-363. |
| [13] | SWAGGER. API Development for Everyone[EB/OL]. [2024-10-14]. http://swagger.io/. |
| [14] | MANNING C D. Human Language Understanding & Reasoning[J]. Daedalus, 2022, 151(2): 127-138. |
| [15] | ZHAO Wayne Xin, ZHOU Kun, LI Junyi, et al. A Survey of Large Language Models[EB/OL]. (2023-12-24) [2024-10-14]. https://arxiv.org/abs/2303.18223. |
| [16] | LIU Yiheng, HAN Tianle, MA Siyuan, et al. Summary of Chatgpt-Related Research and Perspective towards the Future of Large Language Models[EB/OL]. (2023-08-18)[2024-10-14]. https://doi.org/10.1016/j.metrad.2023.100017. |
| [17] | OpenAI. ChatGPT[EB/OL]. [2024-10-14]. https://openai.com. |
| [18] | WEI J, WANG Xuezhi, SCHUURMANS D, et al. Chain-of-Thought Prompting Elicits Reasoning in Large Language Models[J]. Advances in Neural Information Processing Systems, 2022, 35: 24824-24837. |
| [19] | BROWN T, MANN B, RYDER N, et al. Language Models Are Few-Shot Learners[J]. Advances in Neural Information Processing Systems, 2020, 33: 1877-1901. |
| [20] | OWASP. OWASP Cheat Sheet Series[EB/OL]. [2024-10-14]. https://cheatsheetseries.owasp.org. |
| [21] | KOTSTEIN S, BOGNER J. Which Restful API Design Rules are Important and How Do they Improve Software Quality? A Delphi Study with Industry Experts[C]// Springer. Service-Oriented Computing:15th Symposium and Summer School. Heidelberg: Springer, 2021: 154-173. |
| [22] | MASSE M. REST API Design Rulebook[M]. Sebastopol: O'Reilly Media, Inc., 2011. |
| [23] | PALMA F, GONZALEZ-HUERTA J, MOHA N, et al. Are Restful APIs Well-Designed? Detection of Their Linguistic (Anti) Patterns[C]// Springer. Service-Oriented Computing:13th International Conference. Heidelberg: Springer, 2015: 171-187. |
| [24] | PETRILLO F, MERLE P, MOHA N, et al. Are REST APIs for Cloud Computing Well-Designed? An Exploratory Study[C]// Springer. Service-Oriented Computing:14th International Conference. Heidelberg: Springer, 2016: 157-170. |
| [25] | PALMA F, OLSSON T, WINGKVIST A, et al. Assessing the Linguistic Quality of REST APIs for IoT Applications[J]. Journal of Systems and Software, 2022, 191: 111369. |
| [26] | SUBRAMANIAN H, RAJ P. Hands-On RESTful API Design Patterns and Best Practices: Design, Develop, and Deploy Highly Adaptable, Scalable, and Secure RESTful Web APIs[M]. Birmingham: Packt Publishing Ltd., 2019. |
| [27] | GREEN M, SMITH M. Developers are not the Enemy: The Need for Usable Security APIs[J]. IEEE Security & Privacy, 2016, 14(5): 40-46. |
| [28] | BRABRA H, MTIBAA A, PETRILLO F, et al. On Semantic Detection of Cloud API (Anti) Patterns[J]. Information and Software Technology, 2019, 107: 65-82. |
| [29] | NSFocus. REST API Security Design Guide[EB/OL]. (2020-06-22)[2024-10-14]. https://www.infoq.cn/article/eyj8icgmp3j3pm9uf4y4. |
| 绿盟科技. REST API安全设计指南[EB/OL]. (2020-06-22)[2024-10-14]. https://www.infoq.cn/article/eyj8icgmp3j3pm9uf4y4. | |
| [30] | OpenAI. OpenAPI Spec Validator[EB/OL]. (2023-10-13)[2024-10-14]. https://github.com/python-openapi/openapi-spec-validator/. |
| [31] | OpenAI. Completion-OpenAI API[EB/OL]. (2023-08-12)[2024-10-14]. https://beta.openai.com/docs/guides/completion/prompt-design. |
| [32] | KARAVISILEIOU A, MAINAS N, BOURAIMIS F, et al. Automated Ontology Instantiation of OpenAPI REST Service Descriptions[C]// SAI Conferences. Advances in Information and Communication:Proceedings of the 2021 Future of Information and Communication Conference (FICC). Heidelberg: Springer, 2021: 945-962. |
| [33] | GONCHAROV I. APIs.guru[EB/OL]. (2016-05-28)[2024-10-14]. https://apis.guru/. |
| [34] | FIELDING R, GETTYS J, MOGUL J, et al. Hypertext Transfer Protocol--HTTP/1.1[R]. Fremont: Internet Engineering Task Force (IETF), RFC 2616, 1999. |
| [1] | CHEN Ping, LUO Mingyu. Research on Large Model Analysis Methods for Kernel Race Vulnerabilities in Cloud-Edge-Device Scenarios [J]. Netinfo Security, 2025, 25(7): 1007-1020. |
| [2] | FENG Wei, XIAO Wenming, TIAN Zheng, LIANG Zhongjun, JIANG Bin. Research on Semantic Intelligent Recognition Algorithms for Meteorological Data Based on Large Language Models [J]. Netinfo Security, 2025, 25(7): 1163-1171. |
| [3] | ZHANG Xuewang, LU Hui, XIE Haofei. A Data Augmentation Method Based on Graph Node Centrality and Large Model for Vulnerability Detection [J]. Netinfo Security, 2025, 25(4): 550-563. |
| [4] | XIE Mengfei, FU Jianming, YAO Renyi. Research on LLM-Based Fuzzing of Native Multimedia Libraries [J]. Netinfo Security, 2025, 25(3): 403-414. |
| [5] | QIN Zhongyuan, WANG Tiantian, LIU Weiqiang, ZHANG Qunfang. Advances in Watermarking Techniques for Large Language Models [J]. Netinfo Security, 2025, 25(2): 177-193. |
| [6] | CHEN Haoran, LIU Yu, CHEN Ping. Endogenous Security Heterogeneous Entity Generation Method Based on Large Language Model [J]. Netinfo Security, 2024, 24(8): 1231-1240. |
| [7] | XIANG Hui, XUE Yunhao, HAO Lingxin. Large Language Model-Generated Text Detection Based on Linguistic Feature Ensemble Learning [J]. Netinfo Security, 2024, 24(7): 1098-1109. |
| [8] | GUO Xiangxin, LIN Jingqiang, JIA Shijie, LI Guangzheng. Security Analysis of Cryptographic Application Code Generated by Large Language Model [J]. Netinfo Security, 2024, 24(6): 917-925. |
| [9] | QIN Zhenkai, XU Mingchao, JIANG Ping. Research on the Construction Method and Application of Case Knowledge Graph Based on Prompt Learning [J]. Netinfo Security, 2024, 24(11): 1773-1782. |
| [10] | LI Jiao, ZHANG Yuqing, WU Yabiao. Data Augmentation Method via Large Language Model for Relation Extraction in Cybersecurity [J]. Netinfo Security, 2024, 24(10): 1477-1483. |
| [11] | HUANG Kaijie, WANG Jian, CHEN Jiongyi. A Large Language Model Based SQL Injection Attack Detection Method [J]. Netinfo Security, 2023, 23(11): 84-93. |
| [12] | Chaoling LIU, Yan ZHANG, Huiran YANG, Hongjing WU. Design and Implementation of a DPDK-based Virtual NIPS [J]. Netinfo Security, 2018, 18(5): 41-51. |
| [13] | Gang ZHAO, Xingren YAO. Anomaly Detection Model Based on User Portrait [J]. Netinfo Security, 2017, 17(7): 18-24. |
| Viewed | ||||||
|
Full text |
|
|||||
|
Abstract |
|
|||||