Netinfo Security ›› 2025, Vol. 25 ›› Issue (9): 1447-1455.doi: 10.3969/j.issn.1671-1122.2025.09.012

Previous Articles     Next Articles

Improved Consensus Algorithm Based on HotStuff and Multi-Ary Trees

YANG Jianxin1,2, WANG Xiaoding1,2, LIN Hui1,2()   

  1. 1. College of Computer and Cyber Security, Fujian Normal University, Fuzhou 350117, China
    2. Fujian Provincial University Engineering Research Center of Cyber Security and Education Information, Fuzhou 350117, China
  • Received:2024-06-28 Online:2025-09-10 Published:2025-09-18

Abstract:

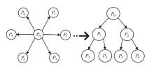
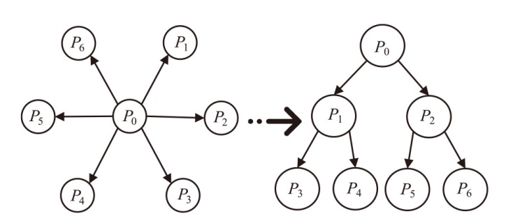
This paper presented an improved consensus algorithm based on HotStuff and multi-ary trees to address the issues of high communication complexity, poor scalability, and leader censorship in Byzantine fault-tolerant consensus protocols for blockchain. This algorithm introduced BLS signature into the signature mechanism to achieve aggregation verification, significantly reducing message overhead. Using multi-ary trees structure to achieve load balancing and improved the parallelism of block processing. By optimizing the voting and submission stages through pipeline technology, consensus latency had been reduced, and adopted an active leadership rotation strategy to address the system performance degradation caused by malicious or inefficient leaders. The results show that with a total of 100 system nodes, this algorithm consensus algorithm achieves a throughput five times higher than the traditional HotStuff consensus algorithm. Moreover, when round-trip time increases from 50ms to 400ms, throughput only decreases by 9% and still maintained high stability. Meanwhile, in various network environments, this algorithm exhibits lower transaction confirmation latency. Therefore, this algorithm has significant advantages in reducing communication complexity, enhancing fault tolerance, and improving performance, providing reference for the design and application of high-performance blockchain systems.

Key words: blockchain, consensus algorithm, HotStuff, multi-ary trees

CLC Number: