Netinfo Security ›› 2025, Vol. 25 ›› Issue (7): 1007-1020.doi: 10.3969/j.issn.1671-1122.2025.07.001

Previous Articles     Next Articles

Research on Large Model Analysis Methods for Kernel Race Vulnerabilities in Cloud-Edge-Device Scenarios

CHEN Ping1, LUO Mingyu2()   

  1. 1. Institute of Big Data, Fudan University, Shanghai 200433, China
    2. School of Computer Science, Fudan University, Shanghai 200433, China
  • Received:2025-05-10 Online:2025-07-10 Published:2025-08-07
  • Contact: LUO Mingyu E-mail:luomingyu2002@126.com

Abstract:

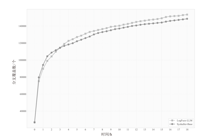
With the widespread application of cloud-edge-device scenarios, kernel race condition detection in operating systems faces new challenges, and its complexity is increasing. To address this issue, this paper proposed a kernel race condition analysis method called LogFuzz based on large language model. This method achieved dynamic learning and precise analysis of system call dependencies through a knowledge injection mechanism, effectively alleviating the difficulties in kernel vulnerability analysis in cloud-edge-device environments. The research first utilized crash logs for system call pattern extraction and analysis, addressing the limitations of traditional methods in modeling complex dependencies. On this basis, domain knowledge from large language models was introduced, and system call semantics and syntactic features are deeply mined through a parameter-efficient fine-tuning framework to guide fuzz testing. Experimental results show that the proposed method, in Linux kernel testing, improved branch coverage by 3.31% compared to traditional methods after 18 hours and successfully triggered 7 system crashes. The method proposed in this paper provides a new technical path for kernel race condition detection in cloud-edge-device scenarios and is of great significance for enhancing system security.

Key words: kernel race conditions, system call sequences, fuzz testing, large language model, cloud-edge-device security

CLC Number: