信息网络安全 ›› 2025, Vol. 25 ›› Issue (6): 943-954.doi: 10.3969/j.issn.1671-1122.2025.06.009
陈大1,2,3, 蔡肖1,2(
), 孙彦斌1,2, 董崇武1,2
收稿日期:2025-02-28
出版日期:2025-06-10
发布日期:2025-07-11
通讯作者:
蔡肖 caixiao327327@163.com
作者简介:陈大(1994—),女,贵州,博士研究生,主要研究方向为工业控制系统、切换系统|蔡肖(1995—),男,广东,博士,主要研究方向为网络化控制系统、工业控制系统及安全|孙彦斌(1987—),男,山东,教授,博士,CCF会员,主要研究方向为网络安全、工业控制系统安全、未来网络|董崇武(1990—),男,广东,博士研究生,主要研究方向为可靠边缘计算、凸优化理论、鞅理论、工业控制系统安全和数字孪生。
基金资助:
CHEN Da1,2,3, CAI Xiao1,2(
), SUN Yanbin1,2, DONG Chongwu1,2
Received:2025-02-28
Online:2025-06-10
Published:2025-07-11
摘要:
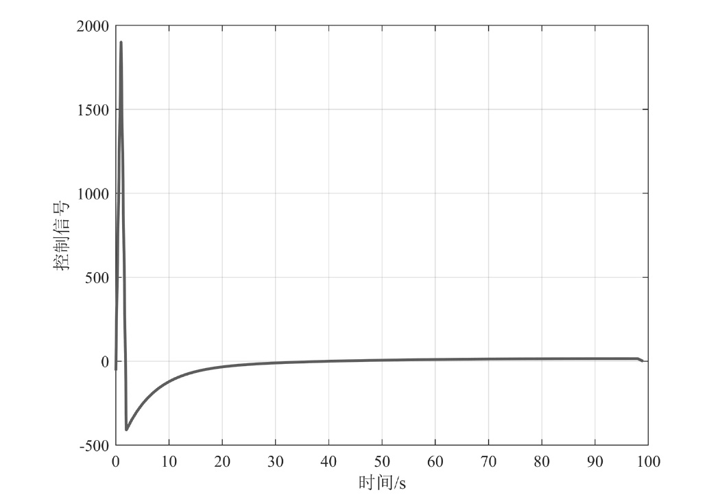
在现代数字网络工业控制系统中,数据冲突和DDoS攻击严重威胁系统的安全与稳定。文章提出基于贪心算法优化工业控制系统数据冲突与DDoS攻击防御机制,用于同时解决数据冲突与DDoS攻击问题。首先,构建基于贪心算法的自适应资源分配模型,通过实时监测网络流量和系统状态,动态调整优先级分配策略,从而有效避免数据冲突并防御DDoS攻击。其次,基于Lyapunov定理设计控制器与观测器,进一步提升系统对数据冲突和DDoS攻击的应对能力。分析结果表明,文章所提方法能显著降低数据冲突的发生频率,并有效增强系统抵御DDoS攻击的能力。此外,通过无人机倒立摆系统的仿真实验进一步验证了该方法的有效性,为数字网络工业控制系统的安全防护提供了一种解决方案。
中图分类号:
陈大, 蔡肖, 孙彦斌, 董崇武. 基于贪心算法优化工业控制系统数据冲突与DDoS攻击防御机制[J]. 信息网络安全, 2025, 25(6): 943-954.
CHEN Da, CAI Xiao, SUN Yanbin, DONG Chongwu. Optimization of Data Conf lict and DDoS Attack Defense Mechanisms in Industrial Control Systems Based on Greedy Algorithm[J]. Netinfo Security, 2025, 25(6): 943-954.
| [1] | AHMED I, JEON G, PICCIALLI F. From Artificial Intelligence to Explainable Artificial Intelligence in Industry 4.0: A Survey on What, How, and Where[J]. IEEE Transactions on Industrial Informatics, 2022, 18(8): 5031-5042. |
| [2] | NTAMO D, LOPEZ-MONTERO E, MACK J, et al. Industry 4.0 in Action:Digitalisation of a Continuous Process Manufacturing for Formulated Products[EB/OL]. (2022-06-01)[2025-01-10]. https://doi.org/10.1016/j.dche.2022.100025. |
| [3] | ESWARAN M, BAHUBALENDRUNI M V A R. Challenges and Opportunities on AR/VR Technologies for Manufacturing Systems in the Context of Industry 4.0: A State of the Art Review[J]. Journal of Manufacturing Systems, 2022, 65: 260-278. |
| [4] | KNAPP E D, LANGILL J. Industrial Network Security: Securing Critical Infrastructure Networks for Smart Grid, SCADA, and Other Industrial Control Systems[M]. New York: ACM, 2024. |
| [5] | TURNER C J, OYEKAN J, STERGIOULAS L, et al. Utilizing Industry 4.0 on the Construction Site: Challenges and Opportunities[J]. IEEE Transactions on Industrial Informatics, 2021, 17(2): 746-756. |
| [6] | ARISHI A, KRISHNAN K, ARISHI M. Machine Learning Approach for Truck-Drones Based Last-Mile Delivery in the Era of Industry 4.0[EB/OL]. (2022-12-01)[2025-01-10]. https://doi.org/10.1016/j.engappai.2022.105439. |
| [7] | KOSHTA N, DEVI Y, CHAUHAN C. Evaluating Barriers to the Adoption of Delivery Drones in Rural Healthcare Supply Chains: Preparing the Healthcare System for the Future[J]. IEEE Transactions on Engineering Management, 2022(71): 13096-13108. |
| [8] | ZHANG Peiying, WANG Chao, QIN Zeyu, et al. A Multidomain Virtual Network Embedding Algorithm Based on Multiobjective Optimization for Internet of Drones Architecture in Industry 4.0[J]. Software: Practice and Experience, 2022, 52(3): 710-728. |
| [9] | SUN Nianyi, ZHAO Jin, SHI Qing, et al. Moving Target Tracking by Unmanned Aerial Vehicle: A Survey and Taxonomy[J]. IEEE Transactions on Industrial Informatics, 2024, 20(5): 7056-7068. |
| [10] | WANG Xin, SUN Jian, WANG Gang, et al. Data-Driven Control of Distributed Event-Triggered Network Systems[J]. IEEE/CAA Journal of Automatica Sinica, 2023, 10(2): 351-364. |
| [11] | YUAN Fang, ZHANG Shuting, XING Guibin, et al. Parameter Control Methods for Discrete Memristive Maps with Network Structure[J]. IEEE Transactions on Industrial Informatics, 2024, 20(5): 7194-7204. |
| [12] | LI Fanghui, HOU Zhongsheng. Learning-Based Model-Free Adaptive Control for Nonlinear Discrete-Time Networked Control Systems under Hybrid Cyber Attacks[J]. IEEE Transactions on Cybernetics, 2024, 54(3): 1560-1570. |
| [13] | VLADIMIROV S S, VYBORNOVA A, MUTHANNA A, et al. Network Coding Datagram Protocol for TCP/IP Networks[J]. IEEE Access, 2023(11): 43485-43498. |
| [14] | REN Wei. Research on Software Defined Network Control Technology for Internet of Things[D]. Beijing: Beijing University of Posts and Telecommunications, 2021. |
| 任玮. 面向物联网的软件定义网络控制技术研究[D]. 北京: 北京邮电大学, 2021. | |
| [15] | YANG Shenghao, YEUNG R W. Network Communication Protocol Design from the Perspective of Batched Network Coding[J]. IEEE Communications Magazine, 2022, 60(1): 89-93. |
| [16] | KIM D M, SORENSEN R B, MAHMOOD K, et al. Data Aggregation and Packet Bundling of Uplink Small Packets for Monitoring Applications in LTE[J]. IEEE Network, 2017, 31(6): 32-38. |
| [17] | XIE Ronggui, YIN Huarui, CHEN Xiaohui, et al. Many Access for Small Packets Based on Precoding and Sparsity-Aware Recovery[J]. IEEE Transactions on Communications, 2016, 64(11): 4680-4694. |
| [18] | HUA Lanfeng, ZHU Hong, ZHONG Shouming, et al. Fixed-Time Stability of Nonlinear Impulsive Systems and Its Application to Inertial Neural Networks[J]. IEEE Transactions on Neural Networks and Learning Systems, 2024, 35(2): 1872-1883. |
| [19] | LIU Bin, LIU Tao, DOU Chunxia. Stability of Discrete-Time Delayed Impulsive Linear Systems with Application to Multi-Tracking[J]. International Journal of Control, 2014, 87(5): 911-924. |
| [20] | CHEN Yongxuan, WANG Dianhui. An Improved Deep Kernel Partial Least Squares and Its Application to Industrial Data Modeling[J]. IEEE Transactions on Industrial Informatics, 2024, 20(5): 7894-7903. |
| [21] | XIANG Wei, YU Kan, HAN Fengling, et al. Advanced Manufacturing in Industry 5.0: A Survey of Key Enabling Technologies and Future Trends[J]. IEEE Transactions on Industrial Informatics, 2024, 20(2): 1055-1068. |
| [22] | CAI Xiao, SHI Kaibo, SHE Kun, et al. Performance Degradation Estimation Mechanisms for Networked Control Systems under DoS Attacks and Its Application to Autonomous Ground Vehicle[J]. IEEE Transactions on Cybernetics, 2024, 54(5): 2992-3002. |
| [23] | LI Bin, ZHOU Xinglian, NING Zhaoke, et al. Dynamic Event-Triggered Security Control for Networked Control Systems with Cyber-Attacks: A Model Predictive Control Approach[J]. Information Sciences, 2022(612): 384-398. |
| [24] | QIAO Libing, DONG Enhuan, YIN Huanpu, et al. Intelligent Network Device Identification Based on Active TCP/IP Stack Probing[J]. IEEE Network, 2024, 38(6): 187-193. |
| [25] | ZHANG Nannan, WANG Wei, XIN Xiaofeng, et al. Low-Delay Ultra-Small Packet Transmission with in-Network Aggregation via Distributed Stochastic Learning[J]. IEEE Transactions on Communications, 2024, 72(5): 2655-2669. |
| [26] | CHEN Da, LIU Xingwen, SHI Kaibo, et al. Exponential Stability of Discrete-Time Systems with Slowly Time-Varying Delays[EB/OL]. (2022-11-01)[2025-01-10]. https://doi.org/10.1016/j.nahs.2022.101246. |
| [27] | LIU Kun, FRIDMAN E, XIA Yuanqing. Networked Control Under Communication Constraints: A Time-Delay Approach[M]. Heidelberg: Springer, 2020. |
| [1] | 申秀雨, 姬伟峰. 考虑安全的边—云协同计算卸载成本优化[J]. 信息网络安全, 2024, 24(7): 1110-1121. |
| [2] | 王健, 陈琳, 王凯崙, 刘吉强. 基于时空图神经网络的应用层DDoS攻击检测方法[J]. 信息网络安全, 2024, 24(4): 509-519. |
| [3] | 印杰, 陈浦, 杨桂年, 谢文伟, 梁广俊. 基于人工智能的物联网DDoS攻击检测[J]. 信息网络安全, 2024, 24(11): 1615-1623. |
| [4] | 蒋英肇, 陈雷, 闫巧. 基于双通道特征融合的分布式拒绝服务攻击检测算法[J]. 信息网络安全, 2023, 23(7): 86-97. |
| [5] | 范明钰, 李珂. 一种基于RNN区分DDoS攻击类型的方法[J]. 信息网络安全, 2022, 22(7): 1-8. |
| [6] | 罗文华, 程家兴. 基于Hadoop架构的混合型DDoS攻击分布式检测系统[J]. 信息网络安全, 2021, 21(2): 61-69. |
| [7] | 王健, 王语杰, 韩磊. 基于突变模型的SDN环境中DDoS攻击检测方法[J]. 信息网络安全, 2020, 20(5): 11-20. |
| [8] | 张可, 汪有杰, 程绍银, 王理冬. DDoS攻击中的IP源地址伪造协同处置方法[J]. 信息网络安全, 2019, 19(5): 22-29. |
| [9] | 喻志彬, 马程, 李思其, 王淼. 基于Web应用层的DDoS攻击模型研究[J]. 信息网络安全, 2019, 19(5): 84-90. |
| [10] | 张雪博, 刘敬浩, 付晓梅. 基于改进Logistic回归算法的抗Web DDoS攻击模型的设计与实现[J]. 信息网络安全, 2017, 17(6): 62-67. |
| [11] | 李洁, 许鑫, 陈宇, 张丁文. 模拟DDoS攻击场景下的云取证模型的研究[J]. 信息网络安全, 2015, 15(6): 67-72. |
| [12] | 姜颖军;张淑芝. 网吧DDoS攻击应急处置方案解析[J]. , 2009, 9(9): 0-0. |
| 阅读次数 | ||||||
|
全文 |
|
|||||
|
摘要 |
|
|||||